Pomeranje kontrolnih tačaka

Kako promena pozicija kontrolnih tačaka utiče na promenu oblika njima definisane Bézier-ove krive?

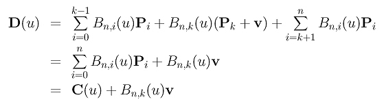
Pretpostavimo da je kontrolna tačka Pk pomerena na novu poziciju Pk + v, gde vektor v određuje i pravac i dužinu pomeranja:

Početna Bézier-ova kriva je oblika:

Kako je nova kriva određena tačkama P0, P1,..., Pk+v,..., Pn, njena jednačina D(u) je:

Kako samo k-ti sabirak koristi različitu kontrolnu tačku Pk + v, posle sređivanja izraza, dobijamo da se nova kriva predstavlja kao zbir početne krive i dodatnog člana Bn,k(u)v. Dakle:

Tačka u na novoj krivoj dobijena je translacijom odgovarajuće tačke u na početnoj krivoj u pravcu v na rastojanju |Bn,k(u)v|

Preciznije, za dato u, imamo tačku C(u) na početnoj, tačku D(u) na novoj krivoj i D(u) = C(u) + Bn,k(u)v. Kako v određuje pravac pomeranja, D(u) je rezultat pomeranja tačke C(u) u tom istom pravcu. Dužina pomeraja je, naravno, intenzitet vektora Bn,k(u)v, pa kada Bn,k(u) dostiže maksimum, promena iz C(u) u D(u) je najveća.

Na slici su date Bézier-ove krive 8. stepena definisane sa 9 kontrolnih tačaka. Početna kriva označena je crnom bojom. Ako pomerimo kontrolnu tačku 3 na novu poziciju, crna kriva se menja u crvenu. Na svakoj krivoj označena je tačka koja odgovara vrednosti parametra u=0.5. Pomeranje tačke C(0.5) u tačku D(0.5) vrši se u istom pravcu kao pomeranje kontrolne tačke na novu poziciju.

Kako je Bn,k(u) različito od nule na otvorenom intervalu (0,1), Bn,k(u)v nije nula vektor na (0,1). Ovo znači da se, osim krajnjih tačaka C(0) i C(1), sve tačke početne krive pomeraju na nove pozicije.

Promena pozicija kontrolnih tačaka menja oblik Bézier-ove krive globalno.

konstrukcija krivih  ... pomeranje kontrolnih tačaka  ... određivanje tačke na krivoj  ... podela krive na dva dela  ... povećavanje stepena krive  ... Bézier-ove krive i površi